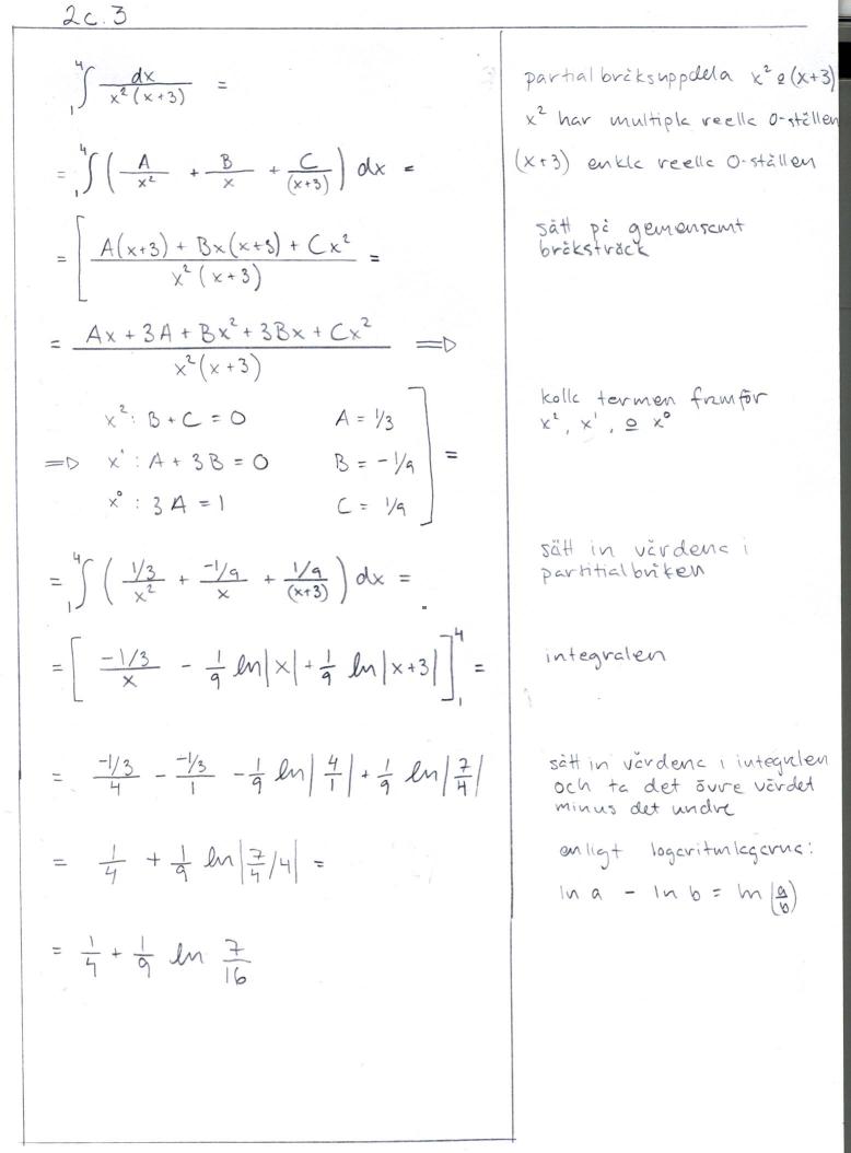
7:2c.3 Rationell integral

A.KJ