Hur klarade DU tentan?

Besök matte­institu­tionens populära anslags­tavla!

Vi har HELA LISTAN!

Tentorna finns på student­expedi­tionen. Mvh – Harald

Läs här om de lagar och förordningar som gäller angående klagomål på betyg.

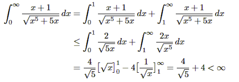
Lösningar till tentan 10/11-03

Utantill-lista

Måndag 3/11

Sista föreläsningen. Jag var föggyld, å bådde djyveds. Jag tog några repetitions-exempel på skilda saker, och en del detaljer som kanske var nya. Jag tryckte speciellt på vikten av att hålla reda på rest­termen när man Taylor-utvecklar.

Sista kvarten tog jag upp litet om hyper­boliska funk­tioner (jag tycker de borde finnas med mer i kursen), och beräknade en area där de före­kommer. Det blev kanska miss­lyckat – bl.a. för stressigt för att jag miss­bedömde tiden. Nåja. Kursen är slut, så när som på lektionen i morgon.

Tentan är nästa måndag 10/11 klockan 8.00–13.00. Salar är inte bestämda ännu; kolla in på mattes tenstamens­sida där lokalerna kommer upp så småningom.

Måndag 27/10

Jag tog upp absolut konver­gens av serier, och nämnde betingad konver­gens. Jag visade med ett exempel att betingat konver­genta seriers summa beror på summa­tions­ordningen. Vi tar inte upp alter­nerande serier och Leibniz' kriterium -- vi hoppar alltså över kapitel 9.3.3.A. (Om det finns upp­gifter på detta bland de rekom­men­derade upp­gifterna, så hoppa över dem!) Därefter gick jag igenom konver­gens av gene­rali­serade inte­graler, men bara satserna:

1) För positiva inte­grander gäller att inte­gralen antingen konver­gerar eller diver­gerar mot oändlig­heten. Man kan alltså upp­skatta med kända inte­graler (väsent­ligen sats 9.14 alltså)

2) Principen om absolut konver­gens (Sats 9.16.)

Vi tar alltså inte upp sats 9.15. Jag visade exemplen 9.27, 9.28 och 9.29, men 9.27 gjorde jag alltså annor­lunda än Eike: jag upp­skattade helt enkelt inte­gralen:

(Jag tror jag gjorde nå't fel vid ut­räkningen av den andra inte­gralen på före­läsningen.)

Utantill-lista

Onsdag 22/10

Det är okart hur mycket om serier som skall ingå. I studie­hand­boken står inget om serier.

Jag tog upp följande:

1) en positiv serie är antingen konvergent, eller diver­gerar mot oändlig­heten. Det innebär att om vi kan upp­skatta att partial­summorna är uppåt begränsade, så är serien konvergent. Metoder: a) jämför med känd serie b) integral­upps­kattning c) rot­kriteriet (som är ett slags special­fall av a)). För att rot­kriteriet skall fungera med fakul­teter, tog jag upp en enkel variant av Stirlings formel:

Det innebär att i uppgift 901 kan man använda rot­kriteriet på d, h, i och n; medan a, e och l kan lösas genom att man jämför med 1/nk för lämpligt k; alter­nativt integral­upp­skattning.

2) Nästa gång tar jag upp att absolut-konver­genta serier är konver­genta. Då tar jag också upp konver­gensen för de vanliga Mac­Laurin­serierna. Jag tänker inte ta upp någon­ting om betingad konvergens.

Jag visade som exempel på integral­upp­skattning att summa 1/n är diver­gent, och att summa 1/n2 är konver­gent. Mer generellt gäller sats 9.6 (sidan 352 i boken) som jag inte tog upp. Den bör man dock känna till, så att man kan an­vända summorna av 1/na som "kända" för att användas som jämförelse.

Måndag 20/10

Sista in­lämnings­dag för in­lämningsu­ppgift 2 är tisdagen 28/10. De lämnas till lektions­läraren.

Jag räknade exempel på area, volym och båg­längd. Bl.a. arean av ellips, volymen av ett klot, och arean av klot (genom att visa att arean av klotet är derivatan av volymen m.a.p. radien.) Jag be­räknade också, som ett litet mer kompli­cerat exempel, volymen av en torus (en ccirkel med centrum på positiva x-axeln roterad kring y-axeln; se boken sidan 332.)

Andra timmen gick jag hastigt igenom para­metri­serade kurvor och polära koordi­nater. Jag "här­ledde" formeln för båg­längd (in­ramade formeln på sidan 314,) och sa att den kan man lära sig utan­till. Jag här­ledde också formeln för båg­längd med polär para­metri­sering (överst på sidan 318) och "svep­arean" vid polär para­metri­sering (överst på sidan 312.) Även denna bör man lära sig utantill.

Jag härlede alltså inte explicit formeln för "rota­tions­volym", så lektions­lärarna får ta upp det (implicit gjorde vi det när jag beräknade volymen av klotet.) Öht. är det bara formeln för båglängd och "sveparean" som man bör utgå ifrån är utan­till­kunskaper -- i övrigt här­leder (heuristiskt) vi uttrycken vid behov. Syftet med av­snittet är just att studenterna skall öva på att modellera inte­graler, inte att lära sig ett antal formler.

När jag nu tittar på de före­slagna upp­gifterna på detta av­snitt är min entusiasm för dem något dämpad. Ta gärna andra exempel på lektionen, om ni inte gillar de före­slagna (detta gäller naturligt­vis alltid.)

Onsdag 15/10

Jag tog inte upp något om medel­värden för inte­graler. Det är bra om ni kan göra det litet grand på lektio­nerna, men det är ett litet udda inslag i kursen.

Jag pratade om generali­serade inte­graler, och påpekade att funda­mental­satsen att inte­gralen från a till b av f(x) är F(b)-F(a) om

1. F '(x) = f(x) utom eventuellt i ändligt många punkter, och

2. F(x) är konti­nuerlig i hela inter­vallet [a,b]

gäller även om f(x) är obegränsad. Vi tog exemplet

Det viktiga är att F(x) är konti­nuerlig. Det fun­gerar alltså inte här, uppen­barligen:

Vi räknade fler exempel, bl.a.

både med fel­aktiga metoder som varning och med korrekta.

Måndag 13/10

Jag har i helgen hjälpt min 96-åriga svärfar att flytta till ett äldre­boende, och jag skall direkt efter före­läsningen skynda mig tillbaks för att fortsätta. Det är kanske för­klaringen att jag var mer osyste­matisk och rörig än vanligt.

Hur som helst: jag gick igenom upp­delning i partial­bråk gene­rellt, men jag visade inte hur man får primi­tiv till

1/(x2 + a2)n för n>1.
Jag tänker inte bry mig om det fallet -- det hoppar vi över.

Efter några exempel på partial­bråk tog jag upp sub­stitu­tionen t = tan(x/2) i trigono­metriska uttryck, och inte­grerade 1/cos(x) (Mer­cators projek­tion). Jag på­pekade att denna sub­stitu­tion brukar ge väldigt bökiga ut­räkningar, och visade att om sin och cos före­kommer bara i jämna potenser, så kan man sub­stitu­era t = tan(x). Jag använde det på exemplet

1/(1 + sin2x).
Vi inte­grerade från 0 till pi, och primi­tiven som man får,

(1/rot(2))*arctan[rot(2)*tan(x)]
konsta­terade vi inte duger, eftersom den är dis­kontinu­erlig för x=pi/2, eller mer precist: den är inte definierad där. Vi måste alltså fixa det, och kom fram till svaret till 7.24 i Eikes bok (sid 569.)

Jag påpekade att inte­gralen av f(x) från a till b är F(b)-F(a) om

1. F(x) är kontinuerlig i [a,b]

2. F'(x) = f(x) där, utom eventuellt i ändligt många punkter. Det gäller även om f(x) har dis­kontinui­teter; det väsent­liga är att F(x) inte har det.

Mer hann jag inte! Jag var nog litet ineffektiv!

Här är några integraler som kan vara lämpliga att kunna utantill. (Ett subjektivt urval, naturligtvis.)

Onsdag 8/10

Jag definierade Riemann­inte­gralen, och visade varianten 7.2 av huvud­satsen som på sid 229 i boken. Där­efter gick jag igenom variabel­substitu­tion i inte­graler och räknade några exempel på det, där­efter partiell inte­gration och några exempel på det. Jag tog inte upp obestämda inte­graler, dvs. inte­graler utan några gränser. Ta gärna upp det på lek­tionen, dvs bestämma primitiv då man först gör en substi­tution, inte­grerar och sedan substi­tuerar tillbaks. T.ex. kan man titta på en primitiv till e2x/(1+ex) genom att först substi­tutera 1+ex = t, inte­grera, och sedan substi­tuera tillbaks. Jag gjorde precis detta exempel som bestämd integral.

Måndag 6/10

Hela före­läsningen gick till att gå igenom partikulär­lösningar till andra ordningens in­homogena diff.­ekva­tioner y"(x) + ...= f(x). Jag tog upp

1)   f(x) = polynom. Ansätt polynom av samma grad (såvida inte resonans; se nedan.)

2)   f(x) = eax g(x). Ansätt y(x) = eax v(x) och sätt in i diff.­ekva­tionen. Efter att vi divi­derat bort eax åter­står en diff.­ekvation i v(x): v"(x) + ... = g(x) som vi får försöka lösa. Jag på­pekade "för­skjutnings­regeln" som kan formu­leras så att karak­teris­tiska polynomet för ekva­tionen som hör till v(x) är 1/2 p"(a) t2 + p'(a)t + p(a), där p(t) är karak­teris­tiska polynomet till ur­sprung­liga diff.­ekva­tionen. Jag på­pekade man kan redu­cera räkning­arna något genom att använda för­skjutnings­regeln, men att det är bättre att deri­vera eax v(x) och sätta in, om man är minsta osäker på metoden.

3)   f(x) = a sin(wx) + b cos(wx). Ansätt y(x)= A sin(wx) + B cos(wx), såvida inte resonans; se nedan.

4)   Resonans. Jag visade med två fall: Om A sin(wx) + B cos(wx) är lösning till den homo­gena ekva­tionen, går det inte att an­sätta detta som partiku­lär­lösnoing i 3) ovan. Man får då an­sätta Ax sin(wx) + Bx cos(wx) i stället. Fall två: om f(x) är polynom. och konstant­termen i diff.­ekvationen är noll, så är ju alla kon­stanter lösningar till homogena ekva­tionen. Man får då an­sätta y(x)=polynom av ett snäpp högre grad, med kon­stant­term = 0.

Jag räknade bl.a. igenom följande exempel, och använde ovan­stående metoder: y"(x) + 4 y'(x) + 13 y(x) = f(x), där

1)   f(x) = x2.

2)   f(x) = x2 e-2x. Med metod 2) och sedan 1) ovan.

3)   f(x) = sin(x). Med metod 3) ovan.

4)   e-2x sin(3x). Med metod 2) ovan. Vi får då en ekva­tion för v(x): v"(x) + 9 v(x) = sin(3x). Detta ger reso­nans: metod 4 ovan.

5)   Ett annat höger­led: y"(x) + y'(x) - 2 y(x) = x e-2x. Efter an­sätt­ning enligt metod 2) ovan får vi v"(x) - 3 v'(x) = x. Detta ger reso­nans, så vi an­sätter v(x) = ax2 + bx.

Anmärkning Observera: Jag an­vände alltså inte komplexa exponen­tial­funktioner i exemplen 3) och 4) ovan. Jag nämnde litet kort den möjlig­heten, men jag tror inte det är någon väsentlig för­enkling, och risken för fel ökar, miss­tänker jag. Det är givet­vis fritt fram för lektionsl­ärarna att an­vända komplexa expo­nential­funktionen, om de tycker det och stu­denterna är med på noterna.

Onsdag 1/10

Jag började med att bevisa L'Hospitals regel, och tog ett enkelt exempel då täljare och nämnare går mot oändlig­heten (fast det fallet bevisade jag aldrig.) Därefter använde jag resten av första timmen åt Taylor. Vi utvecklade kring andra punkter a än noll, genom att införa t=x-a, dvs. x=a+t. Som exempel tog jag sin(t+pi/3) och utvecklade via additions­satsen och utantill-utveck­lingen av sin och cos. Därmed fick jag anledning att påpeka (utan bevis) entydig­heten av Taylor­utvecklingar. Det var litet svårate att hänga med på än jag förut­sett, så jag fort­satte även andra timmen med ett exempel: utveckla 1/(1-x) via geometrisk (ändlig) summa. Därefter byta ut x mot -x2 och få utvecklingen för 1/(1+x2). Sedan insåg vi att Taylor­utvecklingen av derivatan f'(x) får man genom att derivera Taylor­polynomet för f(x), så däri­genom kunde vi få fram utvecklingen av arctan(x).

Sedan fortsatte jag med andra ordningens linjära diffe­rential­ekvationer (med kon­stanta koeffici­enter.) Jag sade att här ges inga här­ledningar, utan nu blir det bara "gör så här". Jag visade hur allmänna lösningen ser ut för homogena ekva­tioner i de tre fallen: två olika reella rötter, (reell) dubbelrot och komplexa (konjugerade) rötter. Jag kom alltså inte alls in på in­homogena ekvationer.

Måndag 29/9

Här finns nu andra omgången av inlämningsuppgifter.

Jag hann bara med Taylors formel, L'Hospitals regel illustrerade jag bara på en minut på slutet med ett exempel. Det innebär att lektionslärarna får visa hur man använder L'Hospital -- utan bevis, naturligtvis, det tar jag upp på nästa föreläsning.

Första timmen beskrev jag satsen, och försökte ge en geometrisk tolkning. Jag skrev upp en utantill-lista för utvecklingarna exp(x), ln(1+x), 1/(1-x), sin(x), cos(x), arctan(x) och (1+x)^a. Jag tog exemplet "hur långt är det till horisonten" och med hjälp av dessa taylorutvecklingar kom jag fram till roten_ur(2*r*h), där h=höjden över marken (havet) och r=jordens radie.

Andra timmen bevisade jag Taylors sats, med både Lagranges och Cauchys restterm (kap. 5.2 respektive 7.3.6.) Sedan tog jag ett par exempel på gränsvärden med Taylor, och allra sista minuten ett exempel som jag gjorde med L'Hospital, men här måste alltså lektionslärarna beskriva metoden. Två saker: jag tog inte upp fallet "oändligheten/oändligheten" i fallet L'Hospital, och bara utveckling kring x=0 för Taylor. Jag föreslår att då man vill utveckla kring x=a så substituerar man x=a+t och utvecklar f(a+t) kring t=0: f(x+t)=f(a) + t*f'(a) + t^2/2*f"(a) + ....

Onsdag 24/9

Det blev ganska mycket teori. Jag bevisade Rolles lemma och differential­kalkylens medel­värdes­sats, och även Cauchy's medel­värdes­sats. Jag kommer att använda den senare för Taylors formel, som jag kommer att härleda litet annor­lunda än Eike. Som koro­larium fick vi att f'(x)>0 ==> f(x) växande, osv. Dessutom visade jag att f"(x)>0 (dvs. f(x) konvex) ==> y=f(x) ligger under sin korda. Mostvarande gäller för konkava funktioner. (I måndags visade kag att konvexitet ==> y=f(x) ligger över sin tangent, och motsvarande för konkava funktioner.) Jag exempli­fierade med att sin(x)>2*x/pi för 0<x<pi/2. Sedan ritade vi ett par grafer, där vi bestämde lokala max- och min.punkter, växande / avtagande och konvexitet / konkavitet i olika intervall.

Måndag 22/9

Jag bevisade aldrig att extrem­punkt ==> derivatan=0, som det står i kurs­planeringen. I stället använde jag första timmen till att prata om att derivatan >0 ==> växande (baserat på geometriskt argument), respektive derivatan <0 ==> avtagande. Jag utnyttjade detta i ett exempel. Sedan pratade jag om andra­derivatans tecken: konvexa och konkava funktioner. Jag utnyttjade att ln x är konkav för att visa att geometriska medel­värdet (av tre tal) är mindre än arit­metiska medel­värdet (specialfall av Jensens olikhet.)

Andra timmen talade jag om kurvors på formen y=f(x) krökning, och härledde kröknings­formeln för sådana. Jag fick då till att börja med härleda uttrycket för båg­längdens derivata m.a.p. x. Vi beräknade bl.a. krökningen för en cirkel, och fann att den var 1/radien, vilket vi också kunde se direkt geometriskt. Syftet med hela före­läsningen idag var dels att ge litet intuitiv och geo­metrisk tolkning av derivatans och andra­derivatans tecken; dels att ge exempel på modellering där derivator av första och andra ordningen utnyttjas.

Onsdag 17/9

Jag följde kursplaneringen. Jag tog upp de vanliga räknereglerna för derivation, som studenterna redan känner till från gymnasiet, och drog några exempel. Därefter formulerade jag "kedjeregeln" som "derivera m.a.p. ett x i taget och addera" och illustrerade denna kryptiska utsaga med exempel:

1) Derivera en produkt f(x)g(x). Derivera först m.a.p. första x:et och håll det andra kosntant, som om det stoge f(x)g(a). Den derivatan är f'(x)g(a). Derivera sedan m.a.p. det andra x:et, som om det stoge f(a)g(x). Den derivatan är f(a)g'(x). Addera, och skriv x för a: f'(x)g(x) + f(x)g'(x). Vi får den vanliga produktregeln.

2) Derivera . Vi vet att och . Alltså är derivatan

.

Därefter gjorde jag samma sak med . Och studenterna hängde med! Imponerande -- det lovar gott!

Andra timmen tog jag upp implicit derivering. Jag började med att göra exempel 2 ovan med logaritmisk derivering. Jag härledde derivatorna för de cyklometriska funktionerna genom att derivera implicit -- jag tog alltså inte upp derivation av invers som en separat grej, utan använde implicit derivering: låt y(x)=arcsin x och derivera identiteten sin(y(x)) = x med avseende på x, o.s.v. Jag härledde derivatan av ax genom att derivera ln(ax) = x ln(a) (dvs. "logaritmisk derivation" som Eike kallar det.) Det blev ju logiskt bakvänt, eftersom jag redan använt denna derivata, men det gör inget. Jag deriverade också y(x) implicit i uttrycket y5 + xy + x5 = 1, som också finns i Eikes bok. Några fler exempel blev det, och så avslutade jag med att bevisa regeln för derivata av produkt -- något bevis skall studenterna se!

Slutligen kom vi överens om att första inlämningsuppgiften skall lämnas till lektionslärarna senast fredagen den 26:e september! Och det är stenhårt -- vi tar inte emot något senare.

Tisdag 16/9

För en del uppgifter -- bl.a. uppgift sex på inlämningsuppgifterna -- behöver vi som "standardgränsvärde" att

Mer generellt gäller att

Jag bevisar den första varianten, den andra kan visas på precis samma sätt. Vi betraktar ln av det uttryck vi skall bestämma gränsvärdet för:

Här gäller att

enligt vad vi visat tidigare, så parentesen går mot -1, och eftersom x går mot oändligheten har vi

varav följer

(varför det?)

Måndag 15/9

Ursäkta -- jag blev upptagen, så det här kommer litet i efterhand. Hur som helst, jag följde kursplaneringen. Jag definierade kontinuitet, och gav ett enkelt exempel på diskontinuitet av språng-typ. För att nöta in begreppet visade jag strikt att sin x är kontinuerlig.

Därefter tog jag upp två egenskaper hos kontinuerliga funktioner:

1. Satsen om mellanliggande värden (sats 3.2). Där visade jag en variant av uppgift 3.2 i Eikes bok -- jag tog dock ett snöre i stället för en gummisnodd (snöret drar inte ihop sig). Jag visade också, mer informellt, uppgift 3.3.

2. Satsen om existens av extremvärden (sats 3.3). Jag visade med enkla exempel att satsen är fel om förutsättningarna -- slutet begränsat intervall + kontinuitet -- inte är uppfyllda.

Slutligen tog jag upp derivatans definition. Derivator är välkänt från gymnasiet, inte minst tolkningar av typen "hastighet" o.s.v., men förmodligen inte den formella definitionen. Jag härledde som exempel strikt att derivatan av sin x är cos x. Slutligen skrev jag upp en utantill-lista på derivator: e^x, ln x, de trigonometriska funktionerna och de cyklometriska funktionerna (härledningen av derivatan till de cyklometriska kommer senare, men inget hindrar att man börjar öva på dem redan nu.)

Onsdag 10/9

Jag gick igenom defini­tionen för gränsvärde av f(x) då x --> a. Även då . Däremot tog jag inte upp fallet . Det är bra om lektions­lärarna tar upp det på lektionen på fredag.

Jag visade några exempel: dels limes av en rationell funktion då då täljaren och nämnaren har samma grad. Därefter tog jag några "standard­gräns­värden" med hjälp av "instängnings­principen" nämligen och och . I det senare fallet använde jag olikheten för att använda "instängnings­principen".

Slutligen illu­strerade jag "substitu­tions­principen" med exemplet där a>0 och . Det gjorde jag med substitu­tionen . Då överförs problemet på , som jag visat tidigare.

Till slut fick studenterna ett "spel­problem" att fundera på till nästa vecka.

Måndag 8/9

Kommentarer till lärarna.

Jag pratade litet om inversa funktioner i allmänhet, och gick sedan igenom definitionerna av arcsin, arccos och arctan. Därefter räknade jag några exempel; dels de två från Eikes bok (se länken ovan), dels tre stycken uppgifter från gamla tentor.

Observera att det finns flera (ganska lätta) uppgifter på detta i "dagens"; se kursplaneringen.

Onsdag 3/9

Här är första om­gången av inlämnings­uppgifter. Börja redan nu att arbeta med dem, men vi bestämmer senare datun för när de skall lämnas in. Reglerna är: Ni får sam­arbeta, och det är OK att fråga lärare eller andra om detaljer. Men det är inte tillåtet att skriva av någon annans lösningar. Var och en skall alltså stå för sina egna lösningar, och vara beredd att redogöra för dem. Från oss lärares sida är syftet med inlämnings­uppgifterna att ni skall lära er matematiken, inte i första hand att det skall under­lätta tentamen.

Idag fortsatte jag med att prata om binomial­koeffi­cienter. Jag visade den vanliga kombina­toriska tolk­ningen att är antalet sätt att plocka ut k element bland n utan hänsyn till ordning, och utan åter­läggning. Jag härledde också resultatet med åter­läggning, i tapp­ningen "fördela k identiska kulor i n olika askar".

Sedan använde vi den kombina­toriska tolk­ningen för att härleda binomial­satsen (1+x)n = ...osv. Och mot­svarande (a+b)n = ... .

jag visade också formeln

och använde den för att härleda ett uttryck för summan 12 + 22 + ... + n2. Detta är ju en enklare variant av uppgift två på in­lämnings­uppgifterna, så nu kan ni börja göra uppgift ett och två där.

Slutligen gav jag ett litet problem att tänka på till nästa gång. Det hade inget med binomial­koeffici­enter eller induktion att göra, utan det är en annan princip....

Måndag 1/9

Jag tog några exempel på inuktionsbevis. Därefter pratade jag om summasymbolen, och visade hur man kan skifta index i en summa. Jag använde setta för att beräkna några summor genom att skriva om dem som teleskoperande serier, tex.

teleskoperande summa

Slutligen tog jag upp litet om binomialkoefficienter och Pascals triangel.

Här är några övningar på summasymbolen